Stefano Bandecchi e gli audio pubblicati dalla stampa al centro del dibattito mediatico. La ricostruzione dei fatti attraverso i documenti ufficiali.
Se c’è una cosa che può essere asserita senza il rischio di essere smentiti, in questi giorni a dir poco convulsi per l’Università degli Studi Niccolò Cusano e il suo fondatore Stefano Bandecchi, è che quest’ultimo non si è mai sottratto ad alcun invito o provocazione riservatagli, e che ogni quesito ha trovato la sua personale risposta.
Dall’uscita del primo articolo sulle pagine di Repubblica dal titolo Sequestro per 20 milioni di euro a Unicusano: sigilli a Ferrari e Roll Royce. Indagati i vertici, in cui si parla di evasione fiscale pur essendo presunta, Stefano Bandecchi ha parlato con tutti, ha risposto ad ogni chiamata di ogni giornalista, di qualsiasi testata, online o cartacea. Bandecchi ha dato la sua versione dei fatti senza riserve, fino alla chiamata di Veronica Di Benedetto Montaccini, giornalista di Romatoday che, insinuando di aver contrattualizzato tra i giornalisti dipendenti del Fondatore una risorsa inquandrandola come istruttore di scuola di volo, ha provocato la seguente replica: E’ tutta una cazzata, qui si sono messi a ridere tutti, giornalisti e speaker. A me non risulta, stia attenta a pubblicarla questa minchiata dei finti istruttori di volo.
Se la domanda principale della Di Benedetto verte sull’inquadramento anomalo del giornalista in questione, non si spiega come la stessa RomaToday, all’interno del pezzo di inchiesta, smentisca se stessa sostenendo che inserendo il codice 3.4.3.1.1.0 all’interno del sito ufficiale del Ministero del lavoro appare la dicitura ‘Annunciatore della radio e della televisione’ e che è probabile si tratti di un errore di sistema della Regione.
Per fugare ogni dubbio, Tag24 pubblica i documenti in questione che riguardano la nomenclatura e classificazione delle unità professionali che al codice 3.4.3.1.1 riporta la posizione riferibile a Annunciatori della radio e della televisione mentre è il 3.4.2.1.1 a corrispondere ad Istruttore di volo.


Se a smontare, quindi, la prima accusa ci ha pensato la stessa testata diretta da Matteo Scarlino, che l’ha mossa, proviamo a passare in rassegna un altro tra i punti contestati a Stefano Bandecchi.
Sfogliando i documenti di cui è entrata in possesso RomaToday, si evince il secondo errore di valutazione.
Quello che viene definito come un licenziamento in tronco del personale delle emittenti di Bandecchi è quello che succede talvolta nelle aziende e che ha il nome di transazione in costanza di rapporto, operazione che si rende necessaria perché il gruppo editoriale si arricchisce di un canale televisivo che rende necessaria la riconfigurazione dell’organigramma.
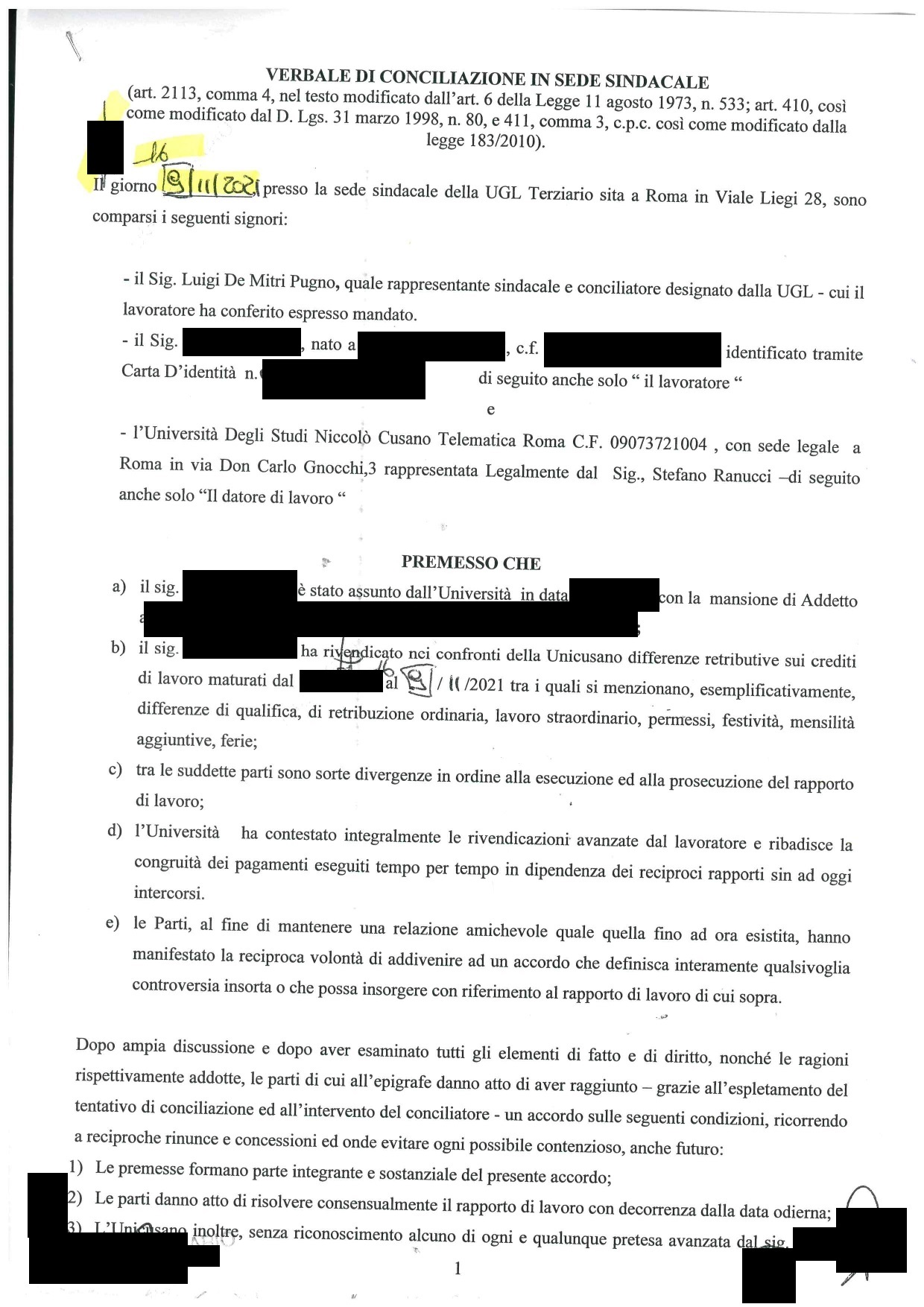
A testimonianza di ciò, tutte le posizioni contrattuali presenti all’interno del Gruppo sono state liquidate anche laddove la legge non lo prevede (Co.Co.Co, P.Iva e contratti di collaborazione). A questo punto si inserisce l’accusa più grave mossa da RomaToday e dalle sue fonti: i lavoratori dipendenti avrebbero operato senza contratto durante la settimana che è trascorsa tra la presunta cessazione (09/11/2021) e la firma del nuovo accordo (17/11/2021).
Per verificare l’infondatezza delle accuse è stato sufficiente risalire alle Comunicazioni Obbligatorie Unificate UniLav inviate da UniCusano al Ministero del lavoro e delle politiche sociali e scoprire che, in perfetta aderenza con il verbale di conciliazione, consegnati ai dipendenti in data 09/11/2021 e firmati dagli stessi in data 16/11/2021, la cessazione del rapporto lavorativo per tutti i coinvolti avviene in data 16/11/2021 al termine dell’orario lavorativo e la nuova acquisizione delle risorse il 17/11/2021.



Ma la rivelazione più seria che i lavoratori fanno a Roma Today è forse quella risalente ai mesi dell’esplosione della pandemia globale da Covid-19. Stefano Bandecchi, in ottemperanza alle leggi nazionali chiude l’ateneo e chiede, su base volontaria, a tutti i dipendenti la possibilità di continuare a lavorare nei locali dell’Università al fine di mantenere un livello minimo di operatività.
Sulla base di alcune trascrizioni di audio e testimonianze di ex dipendenti e dipendenti attuali, si rende noto ai lettori che un gruppo di lavoratori accetta la richiesta di Bandecchi e trascorre il periodo di lockdown nel rispetto delle misure urgenti in materia di contenimento e gestione dell’emergenza epidemiologica da Covid-19 applicate sull’intero territorio nazionale e attuate dal decreto legge 23 febbraio 2020, num.6. Ciò ha di fatto permesso a tutti i reparti di non interrompere mai l’erogazione dei servizi forniti dall’Ateneo tutelando il diritto allo studio di migliaia tra gli studenti iscritti e, al contempo, a tutti coloro che non fossero al suo interno, di proseguire con l’attività lavorativa e, per quanto riguarda nello specifico il comparto radiotelevisivo, di non perdere la sua funzione di servizio pubblico.
La scelta del Presidente del CdA Unicusano, definita da RomaToday sui generis, ha consentito ad ogni singolo lavoratore di mantenere la propria retribuzione inalterata, senza alcun caso di licenziamento e senza ricorrere all’Istituto della Cassa Integrazione Guadagni.
Inoltre, durante tutto il periodo pandemico, l’Azienda è stata in grado di mantenere i contagi al suo interno al 2%, molto al di sotto della media nazionale che al tempo si attestava al 18%. Tutto ciò grazie alla somministrazione quotidiana, in lockdown e nel periodo successivo e sino ad oggi, di tamponi rapidi e/o antigienici gratuiti per tutto il personale.
Lo sforzo, economico e logistico, inerente al periodo del lockdown, è stato legittimato dalle istituzioni nella figura dell’Assessorato alla Sanità della Regione Lazio che ha riconosciuto l’Università Niccolò Cusano come Hub vaccinale, all’interno del quale hanno potuto aderire alla campagna di vaccinazione anti-Covid-19 tutti i dipendenti e i relativi familiari esterni all’Ateneo.
In ultima analisi, concentriamo la riflessione sui locali destinati alle attività di Radio e Televisione, imputati di essere privi di finestre e senza prese d’aria che avrebbero alterato irreversibilmente i ritmi circadiani del sonno dei giornalisti: le suddette redazioni, oggetto di ispezioni da parte dell’Istituto Nazionale di Previdenza Sociale e dell’Istituto Nazionale di Previdenza Giornalisti Italiani, sono state ritenute idonee così come le modalità di lavoro esercitate all’interno delle stesse. Gli studi e le redazioni di Radio Cusano campus, Cusano Italia Tv, Cusano News7 e Tag24 hanno ospitato nell’arco degli anni progetti di alternanza scuola lavoro, programmi presentati dalle emittenti radiofoniche in collaborazione con le università al fine di garantire un servizio di informazione radiofonica universitaria e coinvolto decine di licei della Capitale, ricevendo riconoscimenti dallo stesso Ministero dell’istruzione.
Alessio Moriggi e Francesca Pierri
Il tuo indirizzo email non sarà pubblicato.
I campi obbligatori sono contrassegnati con *