Scaduto il periodo di validità del Bonus Sociale potenziato destinato alle famiglie a basso ISEE per le bollette di luce e gas, a partire da gennaio 2024 si ritorna ai requisiti ISEE precedenti, con alcune eccezioni. Tuttavia, nel periodo tra gennaio e marzo 2024, rimane attivo un contributo straordinario destinato ai clienti domestici beneficiari del bonus sociale elettrico, il quale viene erogato in una somma fissa basata sulle diverse zone climatiche.
La platea dei beneficiari dei Bonus Elettrico per disagio economico coinvolge i nuclei familiari a basso ISEE:
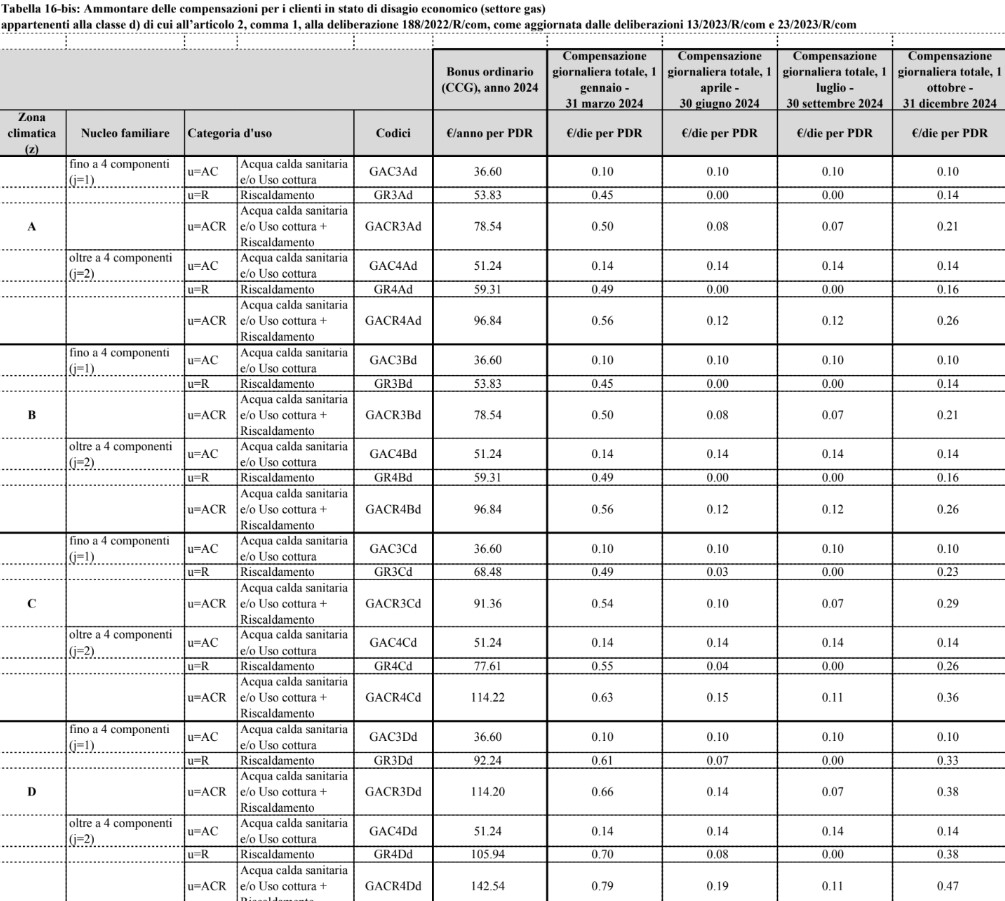
L'ARERA ha provveduto all'aggiornamento dei bonus sociali per l'elettricità e il gas nel primo trimestre del 2024, seguendo le disposizioni normative vigenti:
In aggiunta, per i beneficiari del bonus elettrico, è previsto un contributo straordinario nel primo trimestre del 2024, il quale sarà erogato secondo le stesse modalità previste.



Le modalità di richiesta del Bonus Elettrico rimangono invariate: il contributo viene automaticamente applicato in bolletta dopo la presentazione della Dichiarazione Sostitutiva Unica (DSU) per l'attestazione ISEE.
Il tuo indirizzo email non sarà pubblicato.
I campi obbligatori sono contrassegnati con *